Homepage Blank Non Borrower Credit Authorization Form
Outline

In the realm of mortgage loans and financial assistance, the Non Borrower Credit Authorization form plays a crucial role for households seeking modifications or assistance. When a borrower or co-borrower indicates that a household member, who is not on the promissory note, contributes to their total income, this form becomes essential. It identifies individuals who reside in the home and support the household financially but are not legally responsible for the mortgage. By completing this form, non-borrowers provide their consent for the lender to access their credit information, which is vital for evaluating the mortgage loan modification process. Each non-borrower must sign the form, ensuring that their contributions to the household income are officially recognized. Additionally, if multiple non-borrowers are contributing financially, copies of the form can be utilized for each individual. This streamlined approach not only facilitates a thorough assessment but also helps borrowers navigate their financial hardships more effectively.

Sample - Non Borrower Credit Authorization Form

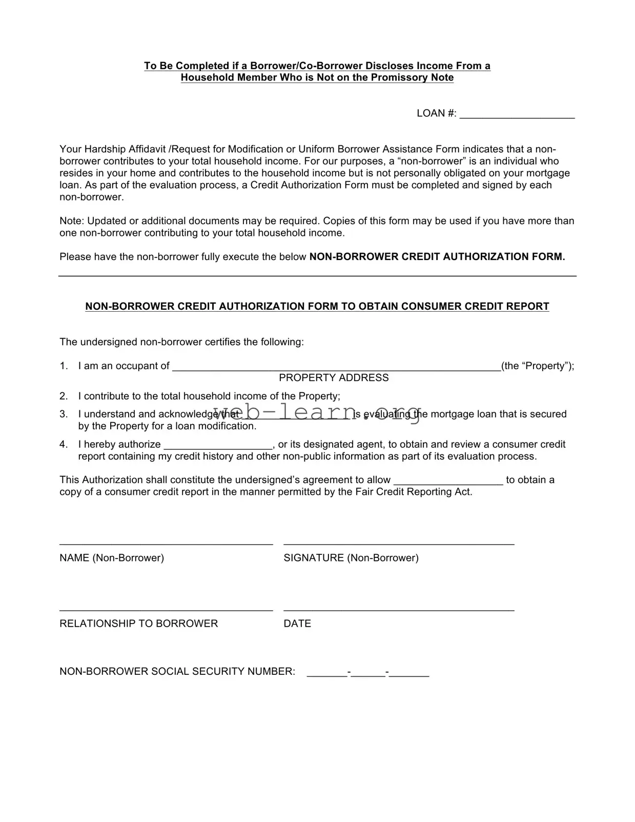
To Be Completed if a Borrower/Co-Borrower Discloses Income From a

Household Member Who is Not on the Promissory Note

LOAN #: ____________________

Your Hardship Affidavit /Request for Modification or Uniform Borrower Assistance Form indicates that a non- borrower contributes to your total household income. For our purposes, a “non-borrower” is an individual who resides in your home and contributes to the household income but is not personally obligated on your mortgage loan. As part of the evaluation process, a Credit Authorization Form must be completed and signed by each non-borrower.

Note: Updated or additional documents may be required. Copies of this form may be used if you have more than one non-borrower contributing to your total household income.

Please have the non-borrower fully execute the below NON-BORROWER CREDIT AUTHORIZATION FORM.

NON-BORROWER CREDIT AUTHORIZATION FORM TO OBTAIN CONSUMER CREDIT REPORT

The undersigned non-borrower certifies the following:

1.I am an occupant of _________________________________________________________(the “Property”);

PROPERTY ADDRESS

2.I contribute to the total household income of the Property;

3.I understand and acknowledge that ___________________ is evaluating the mortgage loan that is secured by the Property for a loan modification.

4.I hereby authorize ___________________, or its designated agent, to obtain and review a consumer credit report containing my credit history and other non-public information as part of its evaluation process.

This Authorization shall constitute the undersigned’s agreement to allow ___________________ to obtain a

copy of a consumer credit report in the manner permitted by the Fair Credit Reporting Act.

_____________________________________

________________________________________

NAME (Non-Borrower)

SIGNATURE (Non-Borrower)

_____________________________________

________________________________________

RELATIONSHIP TO BORROWER

DATE

NON-BORROWER SOCIAL SECURITY NUMBER: _______-______-_______

Form Information

Fact Name Description
Purpose The Non-Borrower Credit Authorization form is used to evaluate the creditworthiness of a non-borrower who contributes to the household income but is not on the mortgage loan.
Eligibility This form must be completed if a borrower or co-borrower discloses income from a household member who does not have a financial obligation on the mortgage.
Documentation Updated or additional documents may be required alongside this form to support the evaluation process.
Multiple Non-Borrowers If there are multiple non-borrowers contributing to the household income, copies of this form can be used for each individual.
Fair Credit Reporting Act The form authorizes the lender or their agent to obtain a consumer credit report, complying with the Fair Credit Reporting Act.
State-Specific Laws In states like California, the form must comply with the California Civil Code Section 1785.1, which governs credit reporting practices.

Detailed Guide for Filling Out Non Borrower Credit Authorization

Completing the Non Borrower Credit Authorization form is an essential step in the process of evaluating a mortgage loan modification. This form allows the lender to assess the creditworthiness of a non-borrower who contributes to the household income. Follow the steps below to ensure the form is filled out correctly.

  1. Locate the form titled "Non Borrower Credit Authorization." Ensure that you have the most recent version.
  2. Fill in the loan number at the top of the form where indicated.
  3. In the section labeled "PROPERTY ADDRESS," write the complete address of the property in question.
  4. Next, the non-borrower must confirm their status by stating, “I am an occupant of” followed by the property address.
  5. Indicate that the non-borrower contributes to the total household income by checking or marking the appropriate box, if applicable.
  6. In the next statement, the non-borrower should acknowledge the evaluation of the mortgage loan for modification by writing the lender's name in the blank space provided.
  7. Authorize the lender or its designated agent to obtain a consumer credit report. The non-borrower should fill in the lender's name again in the designated area.
  8. Sign the form where it states "SIGNATURE (Non-Borrower)." This signature confirms the non-borrower’s agreement to the terms outlined.
  9. Print the non-borrower's name below the signature line.
  10. Specify the relationship to the borrower in the provided space.
  11. Lastly, enter the date when the form is being signed.
  12. Provide the non-borrower’s Social Security number in the designated section, formatted as XXX-XX-XXXX.

Once the form is completed, it should be submitted along with any other required documentation to the lender for processing. Ensure that all information is accurate to avoid delays in the evaluation process.

Obtain Answers on Non Borrower Credit Authorization

  1. What is the purpose of the Non Borrower Credit Authorization form?

    The Non Borrower Credit Authorization form is used to obtain permission from a non-borrower household member to access their credit report. This is necessary when evaluating a mortgage loan modification, especially if the non-borrower contributes to the household income.

  2. Who qualifies as a non-borrower?

    A non-borrower is someone who lives in your home and contributes to the household income but is not legally responsible for the mortgage loan. This could be a family member, friend, or partner who helps with household expenses.

  3. Why is a credit report needed for a non-borrower?

    Accessing a non-borrower’s credit report helps lenders assess the overall financial situation of the household. This information can be crucial in determining eligibility for a loan modification, as it provides insight into the non-borrower’s financial reliability.

  4. How should the Non Borrower Credit Authorization form be completed?

    The form must be filled out by the non-borrower, including their name, relationship to the borrower, and signature. They should also provide the property address where they reside. If there are multiple non-borrowers, copies of the form can be used for each individual.

  5. What happens after the form is submitted?

    Once the form is completed and signed, it will be used to request the non-borrower’s credit report. The lender or their designated agent will review the information as part of the mortgage loan evaluation process. Additional documents may be requested if necessary.

  6. Is the information provided on the form kept confidential?

    Yes, the information collected through the Non Borrower Credit Authorization form is protected under the Fair Credit Reporting Act. This means that the data will only be used for the purpose of evaluating the mortgage loan and will be handled with care to ensure privacy.

  7. Can a non-borrower refuse to provide their credit information?

    While a non-borrower can choose not to provide their credit information, doing so may impact the borrower’s ability to secure a loan modification. It is important for all household members contributing to income to cooperate in this process for the best outcome.

  8. What if the non-borrower does not have a Social Security number?

    If the non-borrower does not have a Social Security number, alternative forms of identification may be required. It is advisable to discuss this situation with the lender to understand what documentation can be accepted.

Common mistakes

Filling out the Non Borrower Credit Authorization form can be straightforward, but many people make common mistakes that can delay the process. One frequent error is failing to provide the complete property address. Ensure that the full address is included, as this information is crucial for identifying the property linked to the loan. Leaving this field blank or providing an incomplete address can lead to confusion and complications.

Another mistake often seen is neglecting to sign the form. A signature is essential to authorize the lender to obtain a credit report. Without it, the form is not valid, and the evaluation process cannot proceed. Double-check that the non-borrower has signed in the designated area before submitting the form.

Many individuals also overlook the importance of accurately stating their relationship to the borrower. This section helps clarify the connection between the non-borrower and the borrower, which is vital for the lender’s assessment. Failing to specify this relationship can result in unnecessary delays in processing.

Additionally, some people forget to include their Social Security number. This number is necessary for the lender to obtain a credit report. Be cautious when entering this information to avoid any typographical errors, as inaccuracies can lead to complications in the credit evaluation.

Another common oversight is not fully understanding the implications of the authorization. The form allows the lender to access sensitive credit information. It's important for non-borrowers to read and comprehend what they are authorizing. Ignoring this step can lead to unexpected surprises later in the process.

Moreover, individuals sometimes fail to provide copies of the form if there are multiple non-borrowers contributing to the household income. Each non-borrower must fill out a separate form to ensure that all relevant information is collected. This is essential for a comprehensive evaluation of the household’s financial situation.

Lastly, not keeping a copy of the completed form for personal records can be a mistake. Having a copy can be helpful for future reference and can aid in tracking the progress of the loan modification process. Always retain a copy for your files to ensure you have all necessary documentation at hand.

Documents used along the form

When working with the Non Borrower Credit Authorization form, several other documents may also be necessary to complete the evaluation process. Each of these forms serves a specific purpose in gathering information relevant to the loan modification or assessment. Below is a list of commonly used forms and documents.

  • Hardship Affidavit: This document outlines the borrower's financial difficulties and reasons for seeking assistance. It provides context for the request for a loan modification.
  • Uniform Borrower Assistance Form: This standardized form collects detailed information about the borrower's financial situation, including income, expenses, and other debts.
  • Proof of Income Documentation: This may include recent pay stubs, tax returns, or bank statements that verify the income of both the borrower and any non-borrowers contributing to the household income.
  • Loan Modification Request Letter: A letter that formally requests a modification of the loan terms. It should include a summary of the borrower's situation and the desired changes.
  • Credit Report Authorization: In addition to the Non Borrower Credit Authorization, this form allows the lender to access the credit report of the borrower, providing a full picture of the financial situation.
  • Debt-to-Income Ratio Calculation: This document outlines the calculation of the borrower’s debt-to-income ratio, which is a critical factor in evaluating loan modification requests.
  • Property Valuation Report: An assessment of the property’s current market value, which helps determine the feasibility of a loan modification based on the property's worth.

Each of these documents plays a vital role in the process of evaluating a loan modification request. Having them prepared and submitted can help streamline the assessment and increase the chances of a favorable outcome.

Similar forms

The Non Borrower Credit Authorization form serves a specific purpose in the mortgage evaluation process, especially when a household member who is not on the mortgage contributes to the household income. Several other documents share similarities with this form, primarily in their function of authorizing the collection of personal information or financial data. Here are four documents that are comparable:

  • Borrower Credit Authorization Form: This document is used by borrowers to give permission for lenders to access their credit reports. Like the Non Borrower Credit Authorization, it ensures that the lender can evaluate the borrower’s creditworthiness during the loan process.
  • Income Verification Form: This form is often required by lenders to confirm the income of individuals applying for a loan. It collects essential financial information, similar to how the Non Borrower Credit Authorization gathers data about household income contributions.
  • Authorization to Release Information Form: This document allows third parties, such as lenders or financial institutions, to obtain specific personal information from other entities. It parallels the Non Borrower Credit Authorization in that it grants permission for the sharing of sensitive data necessary for financial assessments.
  • Privacy Notice: While not a direct authorization, this document informs individuals about how their personal information will be used and shared. It complements the Non Borrower Credit Authorization by ensuring transparency in the handling of personal financial data.

Dos and Don'ts

When filling out the Non Borrower Credit Authorization form, it is essential to be thorough and precise. Here are seven important dos and don'ts to consider:

  • Do ensure that all required fields are completed accurately. This includes the property address and the non-borrower’s name.
  • Do verify that the non-borrower’s signature is present. Without it, the authorization may not be valid.
  • Do confirm the relationship of the non-borrower to the borrower. This information is crucial for processing.
  • Do check the date on the form. An outdated form may lead to delays in processing.
  • Don't leave any fields blank. Incomplete forms can result in rejection or request for resubmission.
  • Don't forget to provide the non-borrower’s Social Security number. This information is necessary for credit evaluation.
  • Don't use a copy of the form without ensuring it is a complete and updated version. Each non-borrower must sign a separate form.

Misconceptions

Misconceptions about the Non Borrower Credit Authorization form can lead to confusion during the loan modification process. Here are four common misunderstandings:

  • Non-borrowers are not important in the loan evaluation process. Many people believe that only borrowers matter when it comes to securing a loan modification. However, non-borrowers who contribute to household income play a significant role in the evaluation process.
  • Only one Non Borrower Credit Authorization form is needed. Some assume that a single form suffices for all non-borrowers. In reality, each non-borrower must complete and sign their own form to ensure proper evaluation.
  • Signing the form means the non-borrower is responsible for the mortgage. This is a common misconception. Signing the Non Borrower Credit Authorization form does not make the non-borrower liable for the mortgage; it simply allows for the evaluation of their credit history.
  • All required documents are provided upfront. Individuals often think that submitting the Non Borrower Credit Authorization form is the final step. However, updated or additional documents may be requested during the evaluation process.

Key takeaways

Filling out and using the Non Borrower Credit Authorization form is an important step in the process of applying for a loan modification when a household member contributes to the income but is not on the mortgage. Here are some key takeaways:

  • Identify Non-Borrowers: Clearly define who qualifies as a non-borrower. This includes individuals living in the home who contribute to the household income but are not responsible for the mortgage loan.
  • Complete the Form Accurately: Ensure that all required information is filled out correctly. This includes the property address, the non-borrower's name, and their relationship to the borrower.
  • Signature Requirement: Each non-borrower must sign the form. This signature authorizes the lender to obtain and review the non-borrower’s credit report as part of the loan modification evaluation.
  • Additional Documentation: Be prepared to provide updated or additional documents if requested. Multiple copies of the form may be necessary if there are several non-borrowers contributing to the household income.