Homepage ↝ Blank Hawaii Quarantine Form
Outline

Traveling to Hawaii with pets requires careful planning, especially due to the state's strict rabies quarantine laws. The Hawaii Quarantine form is an essential document for pet owners, outlining the requirements for bringing dogs and cats into the state. This form includes details about the Animal Quarantine Station's location, contact information, and hours of operation. It also explains the two main quarantine programs: the 5-Day-or-Less program and the 120-Day quarantine, each with specific requirements that must be met. Understanding what animals are prohibited, such as certain hybrids, is crucial for compliance. Additionally, the form provides checklists for both pets arriving from outside Hawaii and those already residing in the state. Owners will find guidance on preparing their pets for travel, including necessary vaccinations and health checks. There are also important details about fees, pet care during quarantine, and how to visit or groom pets at the station. Reading and retaining this information will help ensure a smooth transition for both pets and their owners.

Sample - Hawaii Quarantine Form

Form Information

Fact Name Fact Details
Hawaii's Rabies-Free Status Hawaii is the only state in the U.S. that is rabies-free, which influences its strict pet import laws.
Governing Law Chapter 4-29 of the Hawaii Administrative Rules governs the importation of dogs, cats, and other carnivores into Hawaii.
Quarantine Duration Pets not meeting the 5-Day-or-Less program requirements may face a quarantine period of up to 120 days upon arrival.
Prohibited Animals Non-domestic dogs and cats, including hybrids like wolves and Bengal cats, are prohibited under state law.
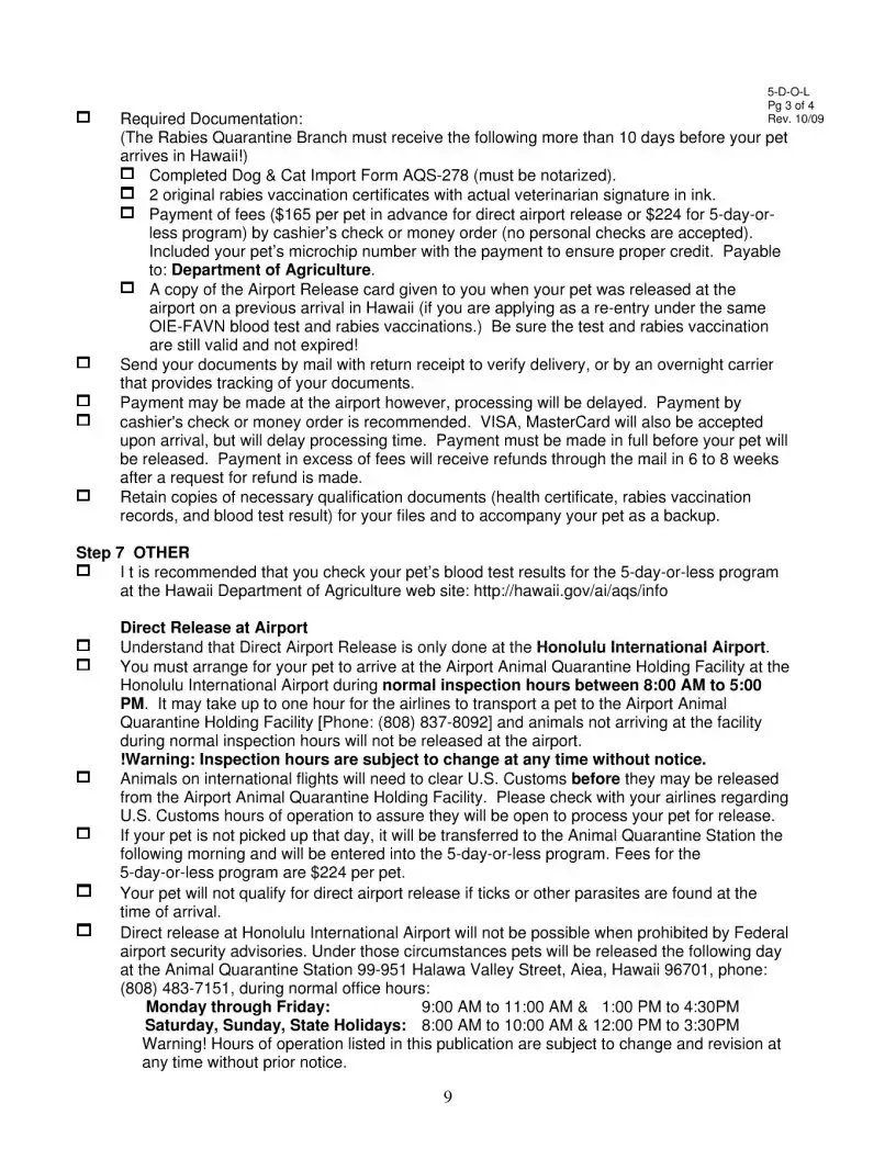
Pet Release Procedures Pets may qualify for direct release at Honolulu International Airport if they meet specific pre- and post-arrival requirements.
Contact Information The Animal Quarantine Station can be reached at (808) 483-7151 or via email at [email protected].
Transit Layover Rules Pets with layovers over 24 hours in Hawaii must be quarantined, while those with shorter layovers can stay at the Animal Port.

Detailed Guide for Filling Out Hawaii Quarantine

Completing the Hawaii Quarantine form is an essential step for pet owners planning to bring their animals to Hawaii. The form gathers necessary information to ensure compliance with state regulations regarding animal health and safety. After submitting the form, pet owners will receive further instructions regarding quarantine procedures, if applicable.

  1. Access the Hawaii Quarantine form online through the official website or the provided email.
  2. Read the instructions carefully to understand the requirements and information needed.
  3. Fill in your personal information, including your name, address, and contact details.
  4. Provide information about your pet, such as species, breed, age, and vaccination history.
  5. Indicate the travel details, including the date of arrival and flight information.
  6. Review all entered information for accuracy to avoid potential delays.
  7. Submit the completed form electronically or print it out for mailing, as instructed.
  8. Keep a copy of the form and any confirmation received for your records.

Obtain Answers on Hawaii Quarantine

  1. What is the purpose of the Hawaii Quarantine form?

    The Hawaii Quarantine form is designed to ensure that pets entering Hawaii comply with the state's strict rabies prevention laws. Hawaii is rabies-free, and the form helps manage the importation of animals to protect both residents and pets from potential health risks associated with rabies.

  2. Who needs to fill out the Hawaii Quarantine form?

    All dogs and cats, regardless of age or purpose, must have the Hawaii Quarantine form completed. This includes puppies and kittens. If you are bringing a pet into Hawaii, you are responsible for ensuring that the form is filled out correctly and submitted as required.

  3. What are the quarantine options for pets arriving in Hawaii?

    Pets arriving in Hawaii can qualify for one of two quarantine options:

    • 5-Day-or-Less Program: If pets meet specific pre- and post-arrival requirements, they may qualify for a shorter quarantine period of five days or less.
    • 120-Day Quarantine: Pets that do not meet the requirements for the 5-Day-or-Less Program will be subject to a longer quarantine period of up to 120 days.
  4. What are the requirements for the 5-Day-or-Less Program?

    To qualify for the 5-Day-or-Less Program, pets must meet specific health and vaccination requirements. These include having a passing rabies blood test, being vaccinated against rabies, and completing necessary paperwork. A detailed checklist is available to ensure compliance with all requirements.

  5. Are there any animals that are prohibited from entering Hawaii?

    Yes, certain animals are prohibited under Hawaii's Plant Quarantine law. This includes non-domestic dogs and cats, as well as hybrids like wolves and certain exotic breeds such as Bengal and Savannah cats. Always check the latest regulations before traveling.

  6. What should I do if my pet is in transit through Hawaii?

    If your pet is passing through Hawaii and has a layover longer than 24 hours, it must be quarantined at the State facility. For layovers of 24 hours or less, pets can be held at the Animal Port. Owners must provide a complete itinerary at least 72 hours prior to departure to arrange for proper care and transport.

  7. How can I contact the Animal Quarantine Station?

    The Animal Quarantine Station can be reached at (808) 483-7151. For urgent inquiries, the Airport Animal Quarantine Holding Facility is available 24/7 at (808) 837-8092. Email inquiries can be sent to [email protected].

  8. What are the fees associated with the quarantine process?

    There are several fees involved, including:

    • $45.00 registration/health record fee
    • $14.30 per day kenneling fee for pets in quarantine

    These fees help cover the costs of care and management of the animals during their stay.

  9. Can I visit my pet while it is in quarantine?

    Yes, you can visit your pet during designated visiting hours. However, the Animal Quarantine Station is closed on Mondays, Fridays, and state holidays, so plan your visits accordingly. It’s important to check the specific visiting hours to ensure you can see your pet.

  10. What happens if I do not comply with the quarantine requirements?

    If you do not meet the requirements for the 5-Day-or-Less Program, your pet will automatically be placed in the 120-day quarantine. Additionally, failure to provide the necessary documentation can lead to delays and additional fees. Always ensure you understand and follow the guidelines to avoid complications.

Common mistakes

Filling out the Hawaii Quarantine form is a critical step for pet owners planning to travel with their animals to Hawaii. However, many individuals make mistakes that can lead to complications. One common error is not providing accurate or complete information about the pet's vaccination history. The form requires specific details regarding rabies vaccinations, including dates and the type of vaccine used. Inaccurate information may result in delays or even quarantine for up to 120 days, which can be stressful for both the pet and the owner.

Another mistake often made is failing to understand the different quarantine programs available. The Hawaii Quarantine system offers a 5-Day-or-Less program for pets that meet certain criteria. Many pet owners do not thoroughly review these requirements and mistakenly assume their pets qualify. This oversight can lead to unexpected quarantine periods, which can be both costly and inconvenient.

Additionally, people sometimes neglect to check the specific requirements for their type of pet. For instance, the rules differ for dogs, cats, and other animals. Some owners may not realize that certain breeds or hybrids are prohibited from entering Hawaii altogether. This lack of awareness can result in having to leave the pet behind or face legal consequences upon arrival.

Timing is another crucial factor that is often overlooked. Pet owners must ensure that all vaccinations and tests are completed within the specified time frames outlined in the form. Delays in obtaining necessary medical records or vaccinations can lead to disqualification from the 5-Day-or-Less program, forcing pets into longer quarantine periods. To avoid this, it is essential to plan ahead and allow ample time for all preparations.

Finally, a frequent error is not retaining copies of important documents. After filling out the Hawaii Quarantine form, owners should keep copies of all related paperwork, including vaccination records and test results. This documentation is vital if any questions arise during the inspection process at the airport. Without proper records, pet owners may face additional scrutiny or delays, which can complicate their travel plans.

Documents used along the form

The Hawaii Quarantine form is an essential document for pet owners wishing to bring their animals into the state. However, several other forms and documents are often required or recommended to ensure compliance with Hawaii's strict animal importation laws. Below is a list of these documents, each with a brief description.

  • Rabies Vaccination Certificate: This document proves that a pet has received a rabies vaccination. It must include details such as the vaccination date and the veterinarian's information.
  • OIE-FAVN Rabies Test Result: A passing result from this rabies blood test is crucial for pets entering Hawaii. It verifies that the pet has adequate levels of rabies antibodies.
  • Health Certificate: Issued by a licensed veterinarian, this certificate confirms that the pet is free from contagious diseases and is fit for travel.
  • Import Permit: This permit may be required for certain pets or specific situations. It grants permission for the pet to enter Hawaii and must be obtained before arrival.
  • Checklist for 5-Day-or-Less Program: This checklist outlines the specific requirements that pets must meet to qualify for a shorter quarantine period upon arrival.
  • Checklist for Pets Located in Hawaii: For pets leaving Hawaii and returning, this checklist details the necessary steps to avoid extended quarantine.
  • Transit Itinerary: For pets traveling through Hawaii, this document provides details about the pet's layover, ensuring proper arrangements for their care.
  • Animal Quarantine Station Rules: Familiarizing oneself with these rules is essential for understanding the protocols and procedures at the quarantine facility.
  • Payment Receipt: A receipt for any fees paid for quarantine or other services may be required for documentation purposes.
  • Pet Release Form: This form is necessary for the official release of the pet from quarantine once all requirements have been met.

Ensuring that all necessary documentation is in order will facilitate a smoother transition for pets arriving in Hawaii. Pet owners are encouraged to carefully review each requirement and prepare the necessary forms ahead of time to avoid any complications during the importation process.

Similar forms

  • CDC Health Declaration Form: Similar to the Hawaii Quarantine form, the CDC Health Declaration Form is required for travelers bringing pets into the United States. It includes information on the pet's health status and vaccination history, ensuring that pets do not pose a health risk upon entry.
  • USDA Animal Import Permit: The USDA Animal Import Permit is necessary for importing certain animals into the U.S. This document outlines the specific health and vaccination requirements that must be met, paralleling the health checks required by the Hawaii Quarantine form.
  • State Animal Health Certificates: These certificates are issued by veterinarians to confirm that pets are healthy and up to date on vaccinations before travel. Like the Hawaii Quarantine form, they serve to protect the health of both the animals and the local population.
  • International Pet Travel Certificate: This document is often required for pets traveling internationally. It includes health and vaccination information similar to that found in the Hawaii Quarantine form, ensuring that pets meet the health standards of the destination country.
  • Airline Pet Travel Forms: Airlines often require specific forms for pets traveling in the cabin or as cargo. These forms typically include health information and vaccination records, much like the requirements set forth in the Hawaii Quarantine form.
  • Veterinary Health Records: Veterinary health records provide detailed information about a pet's vaccinations and health status. This documentation is crucial for meeting the requirements of the Hawaii Quarantine form and ensuring a smooth entry into Hawaii.

Dos and Don'ts

When filling out the Hawaii Quarantine form, it is essential to follow specific guidelines to ensure a smooth process for you and your pet. Here are ten things you should and shouldn't do:

  • Do read the entire Hawaii Rabies Information Brochure thoroughly before completing the form.
  • Do ensure that all required vaccinations for your pet are up to date and documented.
  • Do provide accurate and complete information about your pet, including breed, age, and health status.
  • Do submit your form well in advance of your travel date to avoid delays.
  • Do keep a copy of all documents submitted for your records.
  • Don't leave any sections of the form blank; incomplete forms can lead to complications.
  • Don't forget to check the specific requirements for the 5-Day-or-Less Program if applicable.
  • Don't attempt to bring prohibited animals into Hawaii, such as hybrids or non-domestic pets.
  • Don't ignore the timeline for vaccinations and tests; they must be completed within specified periods.
  • Don't wait until the last minute to gather necessary documents; this can lead to unnecessary stress and potential quarantine.

By following these guidelines, you can help ensure that your pet's transition to Hawaii is as seamless as possible.

Misconceptions

Many people have misunderstandings about the Hawaii Quarantine form. Here are some common misconceptions:

  • Only dogs and cats need to be quarantined. This is not true. All pets, regardless of species, must meet the quarantine requirements.
  • Pets can be released immediately upon arrival. Not all pets qualify for immediate release. Some may need to be quarantined for up to 120 days.
  • Only pets coming from other countries need to follow the quarantine rules. Pets coming from the mainland U.S. also need to meet specific requirements.
  • Puppies and kittens are exempt from quarantine. Puppies and kittens must meet the same requirements as adult pets, or they will face quarantine.
  • All quarantine procedures are the same for every pet. Each pet's situation is unique, and requirements may differ based on the pet's health records and travel plans.
  • Quarantine fees are optional. Fees for quarantine and related services are mandatory and must be paid.
  • Pet owners can visit their pets anytime during quarantine. Visiting hours are limited, and specific days and times must be followed.

Understanding these misconceptions can help pet owners better prepare for their pets' travel to Hawaii.

Key takeaways

Understanding the Hawaii Quarantine form is essential for pet owners planning to travel to the islands. Here are some key takeaways to keep in mind:

  • Hawaii's Unique Status: Hawaii is the only rabies-free state in the U.S., and its laws are designed to protect both residents and pets from rabies.
  • Pre-Arrival Requirements: All dogs and cats must meet specific pre-arrival requirements to qualify for a shorter quarantine period or direct release upon arrival.
  • Quarantine Options: Pets may qualify for a 5-day-or-less quarantine program or a longer 120-day quarantine, depending on whether they meet the necessary criteria.
  • Prohibited Animals: Certain animals, including hybrids like wolves and Bengal cats, are not allowed to enter Hawaii under plant quarantine laws.
  • Documentation is Key: Ensure you have all required documentation, including rabies vaccination records and health certificates, to avoid extended quarantine periods.
  • Transit Layover Rules: If your pet has a layover in Hawaii longer than 24 hours, it must be quarantined at a state facility unless specific conditions are met.
  • Contact Information: Keep the contact details for the Animal Quarantine Station handy, as they can provide assistance and answer questions about the process.

By following these guidelines, pet owners can ensure a smoother transition for their furry friends when traveling to Hawaii.