Homepage Attorney-Approved Affidavit Template
Outline

An affidavit is a vital legal document that serves as a written statement confirmed by the oath of the person making it. This form is commonly used in various legal proceedings, such as court cases, property disputes, and financial matters. It allows individuals to present facts and evidence in a formal manner, providing clarity and support to their claims. The affidavit must be signed in the presence of a notary public or another authorized official, ensuring its authenticity. Key components of an affidavit include the affiant's personal information, a clear statement of facts, and a declaration of truthfulness. Understanding how to properly complete and utilize this form is essential for anyone involved in legal processes, as it can significantly impact the outcome of a case. Whether you are a witness, a party in a dispute, or simply need to affirm certain facts, knowing the ins and outs of an affidavit will empower you to navigate the legal landscape more effectively.

Sample - Affidavit Form

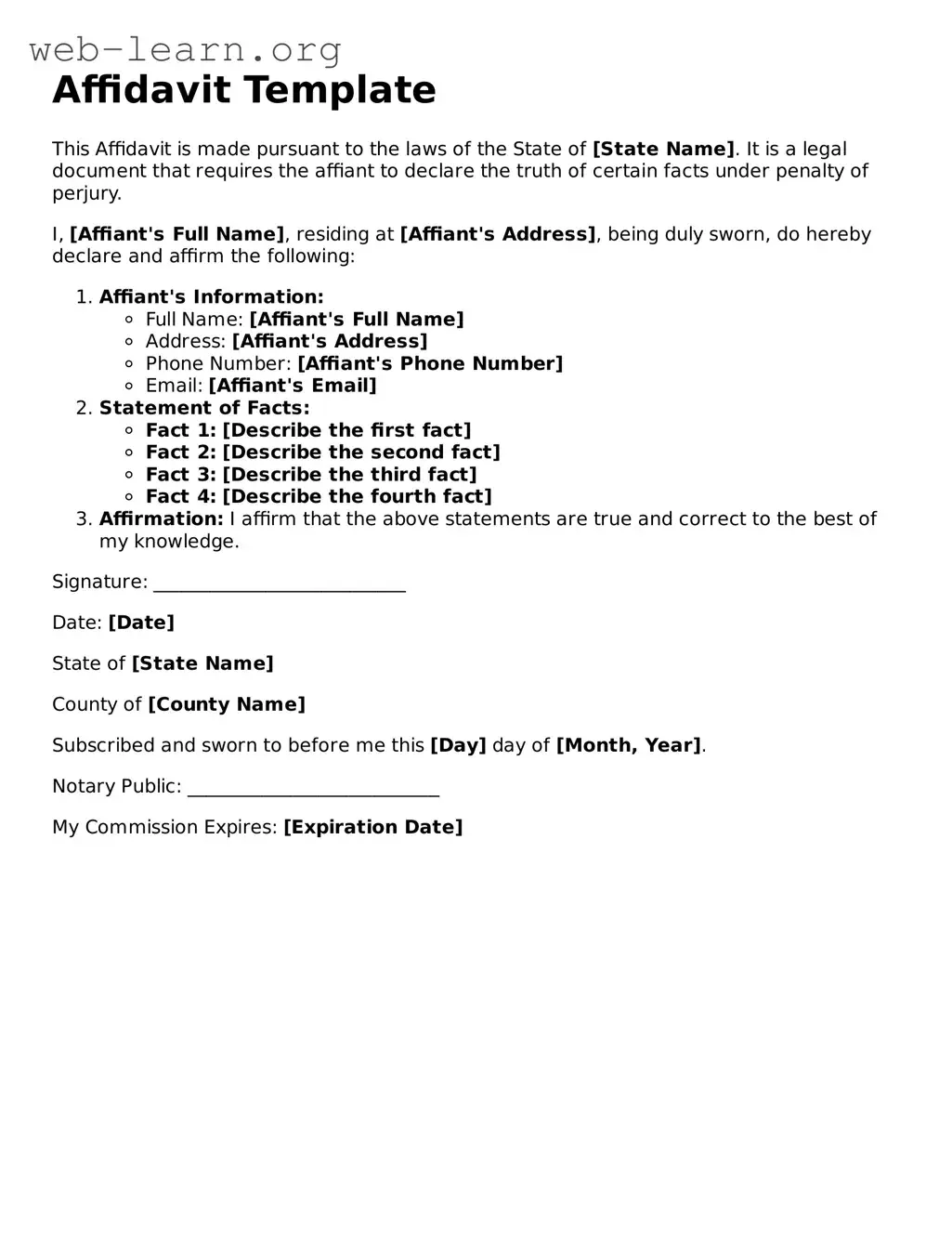
Affidavit Template

This Affidavit is made pursuant to the laws of the State of [State Name]. It is a legal document that requires the affiant to declare the truth of certain facts under penalty of perjury.

I, [Affiant's Full Name], residing at [Affiant's Address], being duly sworn, do hereby declare and affirm the following:

  1. Affiant's Information:
    • Full Name: [Affiant's Full Name]
    • Address: [Affiant's Address]
    • Phone Number: [Affiant's Phone Number]
    • Email: [Affiant's Email]
  2. Statement of Facts:
    • Fact 1: [Describe the first fact]
    • Fact 2: [Describe the second fact]
    • Fact 3: [Describe the third fact]
    • Fact 4: [Describe the fourth fact]
  3. Affirmation: I affirm that the above statements are true and correct to the best of my knowledge.

Signature: ___________________________

Date: [Date]

State of [State Name]

County of [County Name]

Subscribed and sworn to before me this [Day] day of [Month, Year].

Notary Public: ___________________________

My Commission Expires: [Expiration Date]

File Characteristics

Fact Name Description
Definition An affidavit is a written statement confirmed by oath or affirmation, used as evidence in legal proceedings.
Purpose Affidavits serve to provide a sworn declaration of facts, often used in court cases, applications, or other legal matters.
State-Specific Forms Each state may have its own affidavit form. For example, in California, affidavits are governed by the California Evidence Code.
Notarization Most affidavits must be notarized to be considered valid. This process adds a layer of authenticity to the document.
Common Uses Affidavits are commonly used in divorce proceedings, property disputes, and to support various applications, such as for loans or permits.

Detailed Guide for Filling Out Affidavit

Once you have your Affidavit form ready, the next step is to fill it out accurately. This form typically requires personal information and a clear statement of the facts. Ensuring that all details are correct is crucial, as this document may be used in legal proceedings.

  1. Begin by entering your full name at the top of the form.
  2. Provide your current address, including city, state, and zip code.
  3. State your relationship to the matter at hand, if applicable.
  4. Clearly outline the facts you are attesting to in the designated section. Be concise and specific.
  5. If required, include the date and location where the affidavit is being executed.
  6. Sign the affidavit in the presence of a notary public or witness, depending on your state’s requirements.
  7. Ensure that the notary public or witness also signs and dates the document.
  8. Make copies of the completed affidavit for your records and any parties involved.

Obtain Answers on Affidavit

  1. What is an affidavit?

    An affidavit is a written statement that a person swears to be true. It is usually made under oath in front of a notary public or another authorized official. Affidavits are often used in legal proceedings to provide evidence or support claims.

  2. When do I need to use an affidavit?

    You may need to use an affidavit in various situations, such as:

    • To provide proof of identity or residency.
    • To support a court application, like a divorce or custody case.
    • To confirm facts in a legal dispute.
    • To declare the truth of a statement when required by law.
  3. How do I complete an affidavit?

    To complete an affidavit, follow these steps:

    • Start by writing a title that states it is an affidavit.
    • Clearly state your name and address.
    • List the facts you are swearing to, in a clear and concise manner.
    • Include a statement that you are swearing under penalty of perjury.
    • Sign the affidavit in front of a notary public or authorized official.
  4. Do I need a notary for my affidavit?

    Yes, most affidavits must be notarized. This means you need to sign the document in front of a notary public, who will verify your identity and witness your signature. Some jurisdictions may have different rules, so it’s essential to check local requirements.

  5. Can I use an affidavit for any type of legal matter?

    While affidavits are versatile, they may not be suitable for every legal matter. Some courts or situations may have specific rules about what can be included in an affidavit. Always consult with a legal professional if you are unsure about using an affidavit for your case.

  6. Is there a specific format I must follow for an affidavit?

    There is no universally required format for affidavits, but they generally include:

    • The title "Affidavit."
    • Your name and address.
    • A statement of facts.
    • A declaration of truthfulness.
    • Your signature and date.
    • The notary's signature and seal.
  7. How long is an affidavit valid?

    The validity of an affidavit can depend on the purpose for which it was created. In most cases, an affidavit remains valid as long as the information contained within it is accurate and relevant. However, if the circumstances change, you may need to create a new affidavit to reflect those changes.

Common mistakes

Filling out an Affidavit form can be a straightforward process, but there are common mistakes that individuals often make. These errors can lead to delays or complications in legal proceedings. Understanding these pitfalls can help ensure that your Affidavit is completed correctly.

One frequent mistake is not providing enough detail. An Affidavit should contain clear and specific information. Vague statements can undermine the credibility of the document. It is essential to include all relevant facts and details to support the claims being made. This not only strengthens the Affidavit but also helps the reader understand the context better.

Another common error is failing to sign the document in front of a notary. Many people overlook the importance of having their signature notarized. An Affidavit is a sworn statement, and it must be signed in the presence of a notary public to be considered valid. Without this step, the Affidavit may not hold up in court.

Some individuals also make the mistake of using incorrect or outdated forms. Legal forms can change, and it is crucial to ensure that you are using the most current version of the Affidavit form. Using an outdated form can lead to rejection or additional complications in the legal process.

Additionally, neglecting to review the completed form can result in errors. After filling out the Affidavit, take the time to read through it carefully. Look for any typos, inaccuracies, or missing information. A thorough review can catch mistakes before the document is submitted.

Another mistake is failing to provide contact information. Including your contact details is vital. This allows the court or other parties to reach you if they have questions or need further information. Omitting this information can create unnecessary barriers in communication.

Lastly, not understanding the purpose of the Affidavit can lead to misinterpretations. It is essential to know why you are submitting the Affidavit and what you hope to achieve. This understanding will guide you in providing the necessary information and framing your statements appropriately.

By being aware of these common mistakes, individuals can take the necessary steps to complete their Affidavit accurately and effectively. This diligence can help facilitate a smoother legal process and ensure that the document serves its intended purpose.

Documents used along the form

When preparing an Affidavit, several other forms and documents may be necessary to support your claims or provide additional context. Each document serves a specific purpose in the legal process. Below is a list of commonly used forms that accompany an Affidavit.

  • Declaration: A written statement that provides facts or information. Unlike an affidavit, a declaration does not require notarization.
  • Exhibit: A document or item presented as evidence in court. Exhibits can include photographs, contracts, or other relevant materials that support the claims made in the affidavit.
  • Notice of Motion: A formal request to the court to take a specific action. This document outlines the relief sought and the grounds for the request.
  • Summons: A document that notifies a person that they are being sued and provides information on how to respond. It is often served along with the affidavit in legal proceedings.
  • Proof of Service: A document that confirms that legal papers have been delivered to the other party. It ensures that all parties are aware of the proceedings.
  • Response: A document filed by the opposing party to address the claims made in the affidavit. This allows for a formal rebuttal or defense against the statements presented.
  • Subpoena: A legal order requiring a person to appear in court or produce documents. This can be used to gather additional evidence related to the affidavit.

These documents play an essential role in the legal process. They help ensure that all necessary information is presented clearly and that the rights of all parties involved are respected.

Similar forms

  • Declaration: Like an affidavit, a declaration is a written statement made under penalty of perjury. Both documents serve to present facts, but a declaration does not require notarization.
  • Affirmation: An affirmation is similar to an affidavit but is often used by individuals who prefer not to swear an oath for personal or religious reasons. It still serves to confirm the truth of a statement.
  • Sworn Statement: A sworn statement is another name for an affidavit. It is a formal declaration of facts, made under oath, and often used in legal proceedings.
  • Witness Statement: This document captures the account of a witness. While it may not require notarization, it serves a similar purpose in providing factual testimony.
  • Power of Attorney: A power of attorney grants someone the authority to act on another's behalf. It often includes a declaration of the principal's intentions, paralleling the factual assertions in an affidavit.
  • Certification: A certification is a formal statement confirming the authenticity of a document or fact. Both certifications and affidavits provide assurance of truthfulness, though certifications may not require an oath.
  • Legal Notice: A legal notice informs parties of certain facts or actions. While not always sworn, it can serve to establish the truth of a situation similar to an affidavit.
  • Testimony: Testimony, given in court, involves a witness sharing facts under oath. Like an affidavit, it aims to establish the truth of a matter, although it occurs in a different setting.
  • Statement of Facts: This document outlines specific facts related to a case. While it may not be sworn, it serves a similar purpose in providing clarity and context, much like an affidavit.
  • Verification: A verification is a statement confirming the truth of certain facts, often used in legal documents. It shares similarities with affidavits in that both assert the truthfulness of the information provided.

Dos and Don'ts

When filling out an Affidavit form, it’s important to be careful and precise. Here’s a list of things you should and shouldn’t do:

  • Do read the instructions carefully before starting.
  • Do provide accurate and truthful information.
  • Do sign the affidavit in front of a notary public.
  • Do keep a copy for your records after submission.
  • Don't leave any sections blank unless instructed.
  • Don't use unclear or vague language.
  • Don't sign the affidavit without proper identification.
  • Don't forget to check for any required attachments.

Misconceptions

Many people have misunderstandings about affidavits. Here are ten common misconceptions, along with explanations to clarify them.

  1. Affidavits are only for court use.

    While affidavits are often used in court, they can also be used in various situations, such as verifying information for applications or other legal documents.

  2. Anyone can create an affidavit without any guidelines.

    An affidavit must follow certain legal standards. It should include specific information and be signed in front of a notary public or another authorized official.

  3. Affidavits are always lengthy documents.

    Affidavits can be short or long, depending on the information needed. They should be concise and focused on the essential facts.

  4. Once signed, an affidavit cannot be changed.

    Affidavits can be amended or replaced if new information arises or if there are errors. However, the changes must be properly documented.

  5. Affidavits are only for legal professionals.

    Anyone can create an affidavit. However, it is wise to consult with a legal professional to ensure that it meets all necessary requirements.

  6. Affidavits do not need to be notarized.

    Most affidavits must be notarized to be considered valid. This process adds a layer of authenticity and ensures that the signer is swearing to the truth of the information.

  7. Affidavits are the same as declarations.

    While both serve similar purposes, a declaration does not require notarization. An affidavit is a sworn statement, whereas a declaration is a statement made under penalty of perjury.

  8. Affidavits can be used to prove anything.

    Affidavits are only effective for establishing facts that the signer has personal knowledge of. They cannot be used to prove hearsay or opinions.

  9. Affidavits are not legally binding.

    Affidavits are legally binding documents. Signing an affidavit means you are swearing that the information is true, and false statements can lead to legal consequences.

  10. Affidavits are always accepted in court.

    While affidavits can be powerful evidence, a judge may choose not to accept them for various reasons, such as lack of relevance or credibility.

Understanding these misconceptions can help you navigate the use of affidavits more effectively. If you have further questions, consider reaching out for guidance.

Key takeaways

When filling out and using an Affidavit form, it is important to keep several key points in mind to ensure the document serves its intended purpose effectively.

  • Accuracy is crucial: Ensure that all information provided in the Affidavit is truthful and precise. Any inaccuracies could undermine the document's validity.
  • Signature requirements: The Affidavit must be signed in the presence of a notary public or another authorized official. This step is essential for verifying the identity of the signer.
  • Clear and concise language: Use straightforward language when drafting the Affidavit. This clarity helps prevent misunderstandings and ensures that the document is easily understood by all parties involved.
  • Understand the purpose: Know why you are creating the Affidavit. Whether it is for legal proceedings, personal matters, or other purposes, understanding its function will guide you in providing the necessary information.

By keeping these points in mind, you can create an effective Affidavit that meets legal requirements and serves your needs well.